Blog
Karangan Bahasa Melayu Tingkatan 1 2017
kuala lumpur unique buildings in malaysia
kuala lumpur perdana botanical gardens
kesan positif interaksi antara pelbagai tamadun di malaysia
kesimpulan dasar ekonomi baru
kesan perluasan kuasa british di johor
klinik catterall khoo raja malek
kesan perjanjian persekutuan tanah melayu 1957 terhadap sejarah kemerdekaan negara
keunikan adat perpatih di negeri sembilan
Karangan Tingkatan 1
Karangan Tingkatan 1
Contoh Karangan Cute766
Dskp Kssm Bahasa Melayu Tingkatan 1
Contoh Karangan Menabung Wall Ppx
Image Result For Contoh Karangan Pt3 Kepentingan Bahasa Melayu Image Education Screenshots
Contoh Jawapan Sejarah Kertas 3 Tingkatan 5 Bab 8 Grills Zubehor
11 Contoh Karangan Upsr Terbaik Bahasa Melayu In 2020 Malay Language School Study Tips School Worksheets
Rancangan Pengajaran Harian Bahasa Melayu Tingkatan 1
Soalan Ppt Bahasa Melayu Format Kssm Tingkatan 1 My School Ppt I School Format
Contoh Karangan Fakta Pt3 Yang Terbaik Bahasa Melayu Tree Cute766
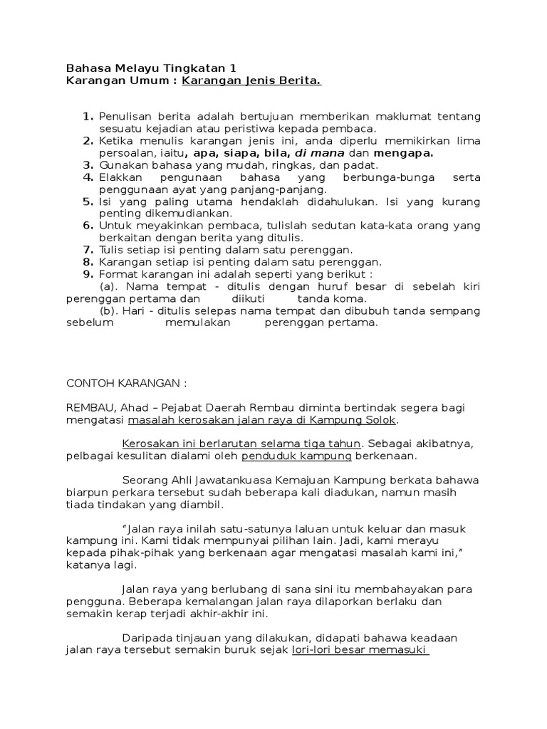
Karangan Jenis Berita
Karangan Bahasa Melayu Tingkatan 1 Surat Rasmi Merdeka Cc
Contoh Karangan Gejala Merokok Dalam
Contoh Karangan Pidato Pt3 Informasi Lowongan Pekerjaan Bulan Ini
Contoh Karangan Bahasa Melayu Spm Sportschuhe Herren Web Cute766
Karangan Vandalisme Tingkatan 1
Image Result For Contoh Karangan Cemerlang Pt3 Bahasa Melayu Membaca Essay Word Search Puzzle Words
Peribahasa Bahasa Melayu Tingkatan 5 Cikimm Com
Contoh Soalan Peperiksaan Bahasa Melayu Spm Kertas 2
Source :
pinterest.com
Random Posts
Contoh Kaedah Kajian Sejarah Pt3
Contoh Idgham Bighunnah Tanwin Bertemu Lam
Contoh Karangan Kebaikan Dan Keburukan Media Sosial
Contoh Cop Nama Dan Jawatan Guru
Contoh Idgham Bilaghunnah Nun Mati Bertemu Lam
Contoh Bacaan Idgham Bilaghunnah Tanwin
Contoh Borang Soal Selidik Sejarah Tingkatan 4
Contoh Huruf Idgham Maal Ghunnah
Contoh Karangan Karangan Ciri Ciri Sekolah Selamat
Contoh Kaedah Kajian Kes Sejarah Tingkatan 4 2020
Contoh Kaedah Kajian Sejarah Tingkatan 2 Kesultanan Melayu Melaka
Contoh Idgham Bilaghunnah 5
Contoh Buku Skrap Bahasa Arab Tahun 4
Contoh Ayat Susunan Biasa Kepada Ayat Songsang
Contoh Jadual Bertugas Dalam Kelas Yang Kreatif
Contoh Kaedah Kajian Geografi
Contoh Bacaan Idgham Bilaghunnah Dalam Al Quran
Contoh Idgham Bighunnah Tanwin Bertemu Nun
Contoh Idgham Bilaghunnah Nun Mati Dan Tanwin
Contoh Ayat Kata Majmuk Rangkai Kata Bebas